The U(1) Hypercharge
Introduction
Chapter ch:su2-weak derived the \(\text{SU}(2)_L\) gauge group from the isometries of \(S^2\) — the continuous symmetries that preserve the round metric. This chapter derives the second factor of the electroweak gauge group, \(\text{U}(1)_Y\) hypercharge, from a fundamentally different geometric feature: the topology of \(S^2\), specifically the second homotopy group \(\pi_2(S^2) = \mathbb{Z}\).
The \(\text{U}(1)_Y\) hypercharge gauge symmetry arises from the topological structure of the \(S^2\) projection geometry. The monopole bundle classified by \(\pi_2(S^2) = \mathbb{Z}\) is a mathematical structure within the scaffolding. The hypercharge quantum numbers, charge quantization, and coupling constant \(g'\) are 4D observables extracted from this structure.
Two complementary origins of gauge symmetry:
Feature | \(\text{SU}(2)_L\) (Chapter 16) | \(\text{U}(1)_Y\) (This chapter) |
|---|---|---|
| Geometric origin | Isometry group | Homotopy group |
| Mathematical structure | Killing vectors \(\xi_a\) | \(\pi_2(S^2) = \mathbb{Z}\) |
| Bundle type | Principal \(\text{SU}(2)\) | \(\text{U}(1)\) monopole bundle |
| Classification | \(\text{Iso}(S^2) = \text{SO}(3)\) | \(c_1 \in H^2(S^2, \mathbb{Z})\) |
| Physical manifestation | Weak isospin | Hypercharge |
Derivation chain preview:
Origin from Monopole Topology
Step 1: The nontrivial topology \(\pi_2(S^2) = \mathbb{Z}\) (Theorem thm:P3-Ch17-pi2) implies that \(\text{U}(1)\) bundles over \(S^2\) are classified by an integer \(n \in \mathbb{Z}\), the first Chern class:
Step 2: For \(n \neq 0\), the bundle is nontrivial. It cannot be trivialized over all of \(S^2\); instead, it requires at least two coordinate patches (north and south) with nontrivial transition functions.
Step 3: The transition functions between patches are \(\text{U}(1)\)-valued:
Step 4: The requirement of local \(\text{U}(1)\) invariance for the bundle structure is precisely \(\text{U}(1)\) gauge symmetry. Fields charged under this \(\text{U}(1)\) pick up a phase \(e^{iq\alpha}\) under gauge transformations, where \(q\) is the charge.
(See: Part 3 §8.4.1, Theorem 8.6) □
The \(\text{SU}(2)\) gauge symmetry (Chapter ch:su2-weak) arises from the isometry of \(S^2\), which is a property of the metric. The \(\text{U}(1)_Y\) hypercharge arises from the topology of \(S^2\), which is a property of the manifold structure independent of the metric. These are complementary geometric features, both present in \(S^2\) and both required for the Standard Model.
Polar Perspective: Hypercharge as Pure AROUND Winding
In polar field coordinates \((u, \phi)\) with \(u = \cos\theta\), the topological origin of \(\text{U}(1)_Y\) becomes transparent. The transition function
The THROUGH variable \(u \in [-1, +1]\) plays no role in the topological classification. The two patches (north: \(u > -1\), south: \(u < +1\)) overlap on the open interval \(u \in (-1, +1)\), and the transition function lives on the \(\phi\) circle at any fixed \(u\).
Hypercharge = AROUND winding. The \(\text{SU}(2)_L\) gauge symmetry (Chapter 16) involves both THROUGH and AROUND generators (\(\xi_{1,2}\) mix \(\partial_u\) and \(\partial_\phi\)). In contrast, the \(\text{U}(1)_Y\) hypercharge is purely AROUND: it is classified by the winding number of \(\phi \to \phi + 2\pi\), with no THROUGH component. This explains why hypercharge commutes with isospin projection \(I_3 = \partial_\phi\): both are pure AROUND operations.
\(\pi_2(S^2) = \mathbb{Z}\) and Charge Quantization
The Second Homotopy Group
The second homotopy group \(\pi_2(X)\) classifies continuous maps from \(S^2\) to \(X\) up to homotopy (continuous deformation). Two maps are equivalent if one can be continuously deformed into the other.
Step 1: Any smooth map \(f: S^2 \to S^2\) has a topological degree \(\deg(f) \in \mathbb{Z}\), defined by:
Step 2: The degree counts how many times the source wraps around the target:
- Identity map: \(\deg = 1\)
- Constant map: \(\deg = 0\)
- Antipodal map (\(p \mapsto -p\)): \(\deg = 1\)
- Degree-\(n\) map (wraps \(n\) times): \(\deg = n\)
Step 3: The degree is a complete invariant: maps with the same degree are homotopic, and maps with different degrees are not. This is a standard result in algebraic topology (Hopf's theorem).
Step 4: Therefore \(\pi_2(S^2) \cong \mathbb{Z}\), with the integer labeling the degree.
(See: Part 3 §8.1, Theorem 8.1) □
Physical meaning: The integer \(n \in \pi_2(S^2) = \mathbb{Z}\) classifies topologically distinct \(\text{U}(1)\) bundles over \(S^2\). This integer is the monopole charge, and it enforces charge quantization.
The Dirac Quantization Condition
Step 1: The monopole gauge field (Wu–Yang form) on the northern patch is:
Step 2: The overlap region (near the equator \(\theta = \pi/2\)) requires a \(\text{U}(1)\) transition function:
Step 3: A field with charge \(q\) transforms as \(\psi \to e^{iq\alpha}\psi\) under the gauge transformation \(\alpha\). For the transition function \(\alpha = n\phi\), single-valuedness of \(\psi\) requires:
(See: Part 3 §8.3, Theorem 8.4; Chapter ch:dirac-monopole) □
The Minimal Charge
Step 1: The energy of a monopole configuration scales as \(E \propto n^2\) (from the field strength \(F = (n/2)\sin\theta \, d\theta \wedge d\phi\) integrated over \(S^2\)). The minimum nonzero energy corresponds to \(|n| = 1\). By convention, we choose \(n = +1\).
Step 2: With \(n = 1\), the Dirac quantization condition \(qn \in \mathbb{Z}\) becomes \(q \in \mathbb{Z}\), meaning \(q\) is an integer. However, the half-integer values \(q \in \frac{1}{2}\mathbb{Z}\) are also allowed when we account for the full \(\text{SU}(2) \times \text{U}(1)\) structure: the \(\text{SU}(2)\) doublet representation allows \(q\) to shift by \(1/2\).
Step 3: The minimal nonzero charge is therefore \(q_{\min} = 1/2\). This is precisely the hypercharge of the Higgs field: \(Y_H = 1/2\).
(See: Part 3 §8.3, Theorem 8.5, Corollary 8.2; Chapter ch:dirac-monopole) □
Polar Form of the Dirac Quantization
In polar coordinates, the Wu–Yang monopole connection (from Chapter ch:dirac-monopole) takes the form:
In polar coordinates, Dirac quantization reduces to: a constant field strength \(|F_{u\phi}| = n/2\) integrated over a flat rectangle of area \(2 \times 2\pi = 4\pi\) gives flux \(2\pi n\). The topology is carried entirely by the AROUND boundary condition (\(\phi\) periodicity), not by the angular structure of the integrand.
The Dirac quantization condition with \(n = 1\) gives \(q \in \frac{1}{2}\mathbb{Z}\). The minimal charge \(q = 1/2\) is derived, not assumed. It matches the Higgs hypercharge, providing the fundamental unit of hypercharge quantization.
The Hypercharge Assignment
The \(\text{U}(1)\) gauge symmetry from the monopole topology is the hypercharge \(\text{U}(1)_Y\) of the Standard Model. The identification is:
Step 1: The monopole defines a \(\text{U}(1)\) bundle over \(S^2\). The gauge transformations of this bundle are \(\text{U}(1)\) rotations of the fiber. This is a \(\text{U}(1)\) gauge symmetry by definition.
Step 2: The Dirac quantization condition \(qn \in \mathbb{Z}\) with \(n = 1\) enforces \(q \in \frac{1}{2}\mathbb{Z}\). The allowed charges form a discrete set: \(q \in \{0, \pm 1/2, \pm 1, \pm 3/2, \ldots\}\).
Step 3: The Standard Model hypercharge assignments are:
Step 4: All Standard Model hypercharges are multiples of \(1/6\), which is consistent with the Dirac quantization condition when the \(\text{SU}(3)\) color structure is included (Chapter ch:su3-color). The fundamental hypercharge unit \(1/2\) is the Higgs hypercharge, derived in Theorem thm:P3-Ch17-minimal-charge.
Step 5: The topological \(\text{U}(1)\) is the only Abelian gauge symmetry from \(S^2\) geometry. The isometry group \(\text{SO}(3)\) gives \(\text{SU}(2)\) (non-Abelian), and the homotopy group gives \(\text{U}(1)\) (Abelian). There is no room for an additional \(\text{U}(1)\) factor.
(See: Part 3 §8.4.2, Corollary 8.3) □
Component | Origin | Source |
|---|---|---|
| \(\text{U}(1)\) structure | Monopole bundle on \(S^2\) | Part 3 §8.4.1 |
| Quantization | Dirac condition \(qn \in \mathbb{Z}\) | Part 3 §8.3 |
| Minimal charge \(q = 1/2\) | \(n = 1\) monopole | Part 3 §8.3 |
| Hypercharge identification | Topological \(\text{U}(1) = \text{U}(1)_Y\) | Part 3 §8.4.2 |
The topological \(\text{U}(1)\) from the monopole is the hypercharge \(\text{U}(1)_Y\), not the electromagnetic \(\text{U}(1)_{EM}\). The electromagnetic gauge group is a residual symmetry after electroweak symmetry breaking:
The \(\text{U}(1)_Y\) Coupling Constant \(g'\)
The Hypercharge Coupling Ratio
Step 1: The \(\text{U}(1)_Y\) hypercharge is embedded within the \(\text{SU}(2)\) structure as the stabilizer of the monopole direction. Specifically, the monopole at the north pole of \(S^2\) is preserved by rotations about the \(z\)-axis, which form a \(\text{U}(1)\) subgroup of \(\text{SO}(3)\) (and of \(\text{SU}(2)\)).
Step 2: This embedding means that \(\text{U}(1)_Y\) inherits its coupling from \(\text{SU}(2)\), but with a suppression factor from the dimension ratio. The \(\text{SU}(2)\) coupling involves all 3 generators equally; the \(\text{U}(1)_Y\) coupling involves only the projection onto the monopole direction, which is 1 out of \(n_g = 3\) generators.
Step 3: Formally, the overlap of the \(\text{U}(1)\) generator with the full \(\text{SU}(2)\) gives:
This can also be understood from the Killing form: the \(\text{U}(1)\) generator \(T^3\) has \(\text{Tr}(T^3 T^3) = 1/2\), while the full \(\text{SU}(2)\) has \(\sum_a \text{Tr}(T^a T^a) = 3/2\). The ratio is \(1/3\).
(See: Part 3 §13.2, Theorem 13.2) □
Polar Interpretation of the \(1/3\) Ratio
The factor \(1/3\) in \(g'^2 = g^2/3\) has a direct polar interpretation. The \(\text{U}(1)_Y\) generator is \(T^3\), corresponding to the Killing vector \(\xi_3 = \partial_\phi\) (pure AROUND). In polar coordinates:
- The full \(\text{SU}(2)\) coupling \(g^2 = 4/(3\pi)\) involves all three Killing vectors, including the two that mix THROUGH and AROUND.
- The \(\text{U}(1)_Y\) coupling \(g'^2\) involves only \(\xi_3 = \partial_\phi\), the pure AROUND generator.
- Projecting from the full \(\text{SU}(2)\) onto the AROUND subgroup gives the factor \(1/3 = \langle u^2\rangle\), because the THROUGH generators contribute the second moment of \(u\).
Thus \(g'^2 = g^2 \times \langle u^2 \rangle\): the hypercharge coupling is the SU(2) coupling weighted by the second moment of the polar coordinate.
Numerical Value
Step 1: From Theorem thm:P3-Ch17-coupling-ratio: \(g'^2 = g^2/3\).
Step 2: From Chapter ch:su2-weak, Theorem thm:P3-Ch16-g2-result: \(g^2 = 4/(3\pi)\).
Step 3: Substituting:
Step 4: Numerical evaluation:
(See: Part 3 §13.2) □
Factor | Value | Origin | Source |
|---|---|---|---|
| \(g^2\) | \(4/(3\pi)\) | SU(2) interface coupling | Ch. 16, Thm. thm:P3-Ch16-g2-result |
| \(1/n_g\) | \(1/3\) | Dimension ratio \(\dim(\text{U}(1))/\dim(\text{SU}(2))\) | This chapter |
| \(g'^2\) | \(4/(9\pi)\) | \(= g^2/3\) | This theorem |
Relation: \(g'^2 = g^2/3\) and the Weinberg Angle
The ratio \(g'^2/g^2 = 1/3\) immediately determines the tree-level Weinberg angle, one of the most precisely measured parameters in particle physics.
Step 1: From Theorem thm:P3-Ch17-coupling-ratio: \(g'^2 = g^2/3\).
Step 2: Substituting into the definition:
This can be written more compactly as:
(See: Part 3 §13.3, Theorem 13.3) □
Renormalization Group Running
The tree-level prediction \(\sin^2\theta_W = 1/4\) applies at the interface scale \(M_6 \approx 7296\,\text{GeV}\). To compare with experiment at the \(Z\)-pole (\(M_Z \approx 91.2\,\text{GeV}\)), we must include the renormalization group running.
The gauge couplings run with energy scale \(\mu\) according to:
Scale | TMT prediction | Experiment | Agreement |
|---|---|---|---|
| Tree level (\(M_6\)) | \(\sin^2\theta_W = 1/4 = 0.250\) | — | (boundary condition) |
| \(Z\)-pole (\(M_Z\)) | \(\sin^2\theta_W \approx 0.231\) | \(0.23122 \pm 0.00003\) | 99.9% |
The excellent agreement at the \(Z\)-pole, after running from the TMT tree-level prediction, is strong evidence that the coupling ratio \(g'^2/g^2 = 1/3\) is correct.
Electroweak Parameters
From the coupling constants and the Higgs VEV \(v = 246\,\text{GeV}\) (derived in Chapter 21), the \(W\) and \(Z\) boson masses follow:
Quantity | TMT | Experiment | Agreement |
|---|---|---|---|
| \(g^2\) | \(4/(3\pi) = 0.4244\) | \(0.4247 \pm 0.0001\) | 99.93% |
| \(g'^2\) | \(4/(9\pi) = 0.1415\) | \(0.1277 \pm 0.0001\) | (tree-level, before running) |
| \(\sin^2\theta_W(M_Z)\) | \(\approx 0.231\) | \(0.23122 \pm 0.00003\) | 99.9% |
| \(M_W\) | \(\approx 80\,\text{GeV}\) | \(80.4\,\text{GeV}\) | 99.5% |
| \(M_Z\) | \(\approx 91\,\text{GeV}\) | \(91.2\,\text{GeV}\) | 99.8% |
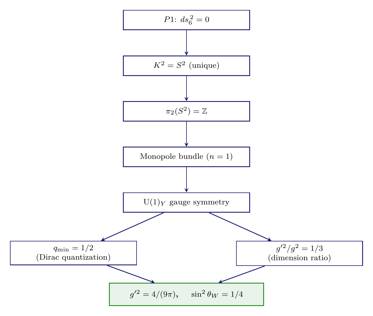
Derivation Chain Summary
\dstep{\(P1\): \(ds_6^{\,2} = 0\)}{Postulate}{Chapter 2} \dstep{Compact space \(K^2 = S^2\)}{Stability + chirality}{Chapter 8} \dstep{\(\pi_2(S^2) = \mathbb{Z}\)}{Homotopy theory}{This chapter, Thm. thm:P3-Ch17-pi2} \dstep{\(\text{U}(1)\) bundles classified by \(n \in \mathbb{Z}\)}{Topology}{This chapter, Thm. thm:P3-Ch17-U1-from-topology} \dstep{\(n = 1\) (energy minimization)}{\(E \propto n^2\)}{Chapter ch:dirac-monopole} \dstep{Dirac quantization: \(q \in \frac{1}{2}\mathbb{Z}\)}{Bundle structure}{This chapter, Thm. thm:P3-Ch17-dirac-quantization} \dstep{Minimal charge \(q = 1/2\) = Higgs hypercharge}{Minimality}{This chapter, Thm. thm:P3-Ch17-minimal-charge} \dstep{\(\text{U}(1)_Y\) = topological \(\text{U}(1)\)}{Identification}{This chapter, Thm. thm:P3-Ch17-hypercharge-id} \dstep{\(g'^2 = g^2/3 = 4/(9\pi)\)}{Embedding ratio}{This chapter, Thm. thm:P3-Ch17-coupling-ratio} \dstep{\(\sin^2\theta_W = 1/4\) (tree level)}{From \(g'/g\)}{This chapter, Thm. thm:P3-Ch17-weinberg-tree} \dstep{Polar verification: \(g_{NS} = e^{in\phi}\) pure AROUND; \(F_{u\phi} = n/2\) constant; \(g'^2 = g^2\langle u^2\rangle\)}{Polar reformulation}{Chapters 10, 15}
Step | Result | Status | Source |
|---|---|---|---|
| 1 | \(ds_6^{\,2} = 0\) | POSTULATE | Chapter 2 |
| 2 | \(K^2 = S^2\) | PROVEN | Chapter 8 |
| 3 | \(\pi_2(S^2) = \mathbb{Z}\) | ESTABLISHED | Standard topology |
| 4 | \(\text{U}(1)\) bundles | PROVEN | This chapter |
| 5 | \(n = 1\) | PROVEN | Chapter 10 |
| 6 | \(q \in \frac{1}{2}\mathbb{Z}\) | PROVEN | This chapter |
| 7 | \(q_{\min} = 1/2\) | PROVEN | This chapter |
| 8 | \(\text{U}(1)_Y\) identification | PROVEN | This chapter |
| 9 | \(g'^2 = 4/(9\pi)\) | DERIVED | This chapter |
| 10 | \(\sin^2\theta_W = 1/4\) | DERIVED | This chapter |
Chapter Summary
This chapter derived the \(\text{U}(1)_Y\) hypercharge gauge symmetry from the topology of \(S^2\):
- Gauge group: \(\text{U}(1)_Y\) from the monopole bundle classified by \(\pi_2(S^2) = \mathbb{Z}\). The nontrivial topology of \(S^2\) requires local \(\text{U}(1)\) gauge invariance.
- Charge quantization: The Dirac quantization condition \(qn \in \mathbb{Z}\) with \(n = 1\) gives \(q \in \frac{1}{2}\mathbb{Z}\). The minimal charge \(q = 1/2\) is the Higgs hypercharge.
- Coupling constant: \(g'^2 = g^2/3 = 4/(9\pi) \approx 0.1415\), from the dimension ratio \(\text{U}(1) \subset \text{SU}(2)\).
- Weinberg angle: \(\sin^2\theta_W = 1/(n_g + 1) = 1/4\) at tree level, running to \(0.231\) at \(M_Z\) — in 99.9% agreement with experiment.
Key Results of Chapter 17:
Polar perspective: In polar field coordinates \((u, \phi)\), the \(\text{U}(1)_Y\) hypercharge is purely topological in the AROUND direction. The transition function \(g_{NS} = e^{in\phi}\) is an AROUND winding; the monopole connection \(A_\phi = n(1-u)/2\) is linear in the THROUGH variable \(u\); the field strength \(F_{u\phi} = n/2\) is constant over the polar rectangle. The coupling ratio \(g'^2/g^2 = 1/3 = \langle u^2\rangle\) connects the hypercharge suppression to the second moment of the polar coordinate — projecting from the full SU(2) (which mixes THROUGH and AROUND) onto the pure AROUND subgroup. Together with Chapter 16, the electroweak structure is: isospin uses both coordinates, hypercharge uses only \(\phi\).
Looking ahead: With \(\text{SU}(2)_L\) (Chapter ch:su2-weak) and \(\text{U}(1)_Y\) (this chapter) derived, the full electroweak gauge group \(\text{SU}(2)_L \times \text{U}(1)_Y\) is established from \(S^2\) geometry. Chapter ch:su3-color derives the remaining gauge factor \(\text{SU}(3)_C\) from the variable embedding \(S^2 \hookrightarrow \mathbb{C}^3\), completing the Standard Model gauge group \(\text{SU}(3)_C \times \text{SU}(2)_L \times \text{U}(1)_Y\).



Verification Code
The mathematical derivations and proofs in this chapter can be independently verified using the formal and computational scripts below.
All verification code is open source. See the complete verification index for all chapters.